cijena sa
50% popusta: 60 kn



PDF- ogledni primjeri zadataka ....

 

Univerzalna zbirka potpuno korak po korak riješenih zadataka za prvi razred svih srednjih škola
Priručnik za samostalno učenje MATEMATIKA-1-
SKUPU REALNIH BROJEVA

ALGEBARSKI RAZLOMCI

Autor: Mladen Sraga
Centar za poduku - M.I.M.-Sraga

- trenutno sadrži preko 350 potpuno riješeniha zadataka sa aglebarskim razlomcima
( duplo više nego u školskoj zbirci )
sadržaj:
- skraćivanje algebarskih razlomaka
- zbrajanje i oduzimanje algebarskih razlomaka
- množenje algebarskih razlomaka
- dijeljenje algebarskih razlomaka
PDF- ogledni primjeri zadataka ....
-
Svi zadaci su kompletno riješeni tehnikom korak po korak uz kompletnu uputu i objašnjenja ...+ linkovi na-YouTube - video upute ...

Primjeri zadataka :


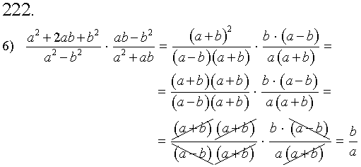
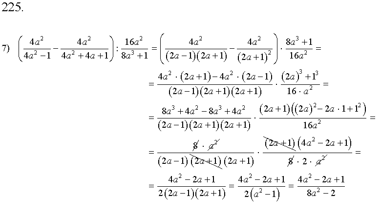
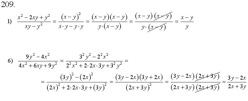
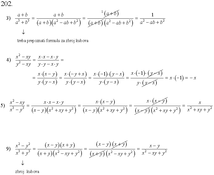
Algebarski razlomci:
-
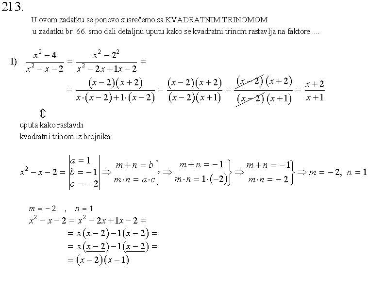
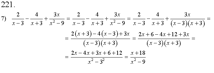
zadatak broj:


Algebarski razlomci:
-
zadatak broj:



Algebarski razlomci:
-
zadatak broj:



Algebarski razlomci:
-
zadatak broj:



Algebarski razlomci:
-
zadatak broj:



Algebarski razlomci:
-
zadatak broj:



Algebarski razlomci:
-
zadatak broj:



Algebarski razlomci:
-
zadatak broj:



Algebarski razlomci:
-
zadatak broj:



Algebarski razlomci:
-
zadatak broj:





još primjera potpuno riješenih zadataka
zatražite na mail mim-sraga@zg.htnet.hr
tako da obavezno u mailu naznačite da tražite još riješenih primjera
iz univerzalne zbirke potpuno riješenih zadataka: Mat-1 - ALGEBARSKI RAZLOMCI
     
    NARUDŽBE i sve dodatne informacije možete napraviti
na telefon: 01-4578-431
ili mail: mim-sraga@zg.htnet.hr
   

Autor zadataka: Mladen Sraga
Autor kompletnih rješenja i uputa: Mladen Sraga
Izdavač: M.I.M.-Sraga d.o.o.



Zbirka u POTPUNOSTI PRATI NASTAVNI PLAN I PROGRAM i najveća je zbirka potpuno riješenih zadataka u Hrvatskoj na temu ALGEBARSKIH RAZLOMAKA...
( zadatke smo sakupljali, sastavljali i rješavali u proteklih 23 godine !!!!! ) U zbirci je otprilike DUPLO zadataka nego što ih ima u ŠKOLSKOJ zbirci od Dakić-Elezović
razlikuje se od svih drugih zbirki po tome što su svi zadaci kompletno riješeni i uz njih ide dodatna uputa i objašnjenje !!!!
i razlikuje se od svih ostalih zbirki po tome što AUTORA i izadvača možete tražiti dodatne upute i objašnjenja uz zadatke koji vam nisu dovoljno jasni ( ako ima takvih zadataka ! ) i to 24 sata na dan - 365 dana na godinu putem maila mim-sraga@zg.htnet.hr !




Zbirka je gotova i ide u tiska. Ova zbirka NIJE BESPLATNA već ima vrlo popularnu cijenu sa 50% popusta = 60 kn !

Dio koji će biti objavljen na ovoj web-stranici biti će besplatan a kompletnu zbirku o ALGEBARSKIM RAZLOMCIMA
moći će te kupiti samo u štampanom obliku i to isključivo preko centra za poduku: M.I.M.-Sraga,
dolaskom do nas ili preko pošte ( pouzećem )

Kupnjom ove zbirke dobijete GARANCIJU na sve zadatke tako da možete postavljati dodatna pitanja
i tražiti dodatne upute uz zadatke iz ove zbirke putem telefona ili preko maila !
Odgovore na sva pitanja šaljemo mailom ili fax-om ili ih objavljujemo na YouTube
pod nazivom: Mala škola MATEMATIKE


tel: 01-4578-431 ili mail: mim-sraga@zg.htnet.hr




Mat -1-
Uređaj na skupu realnih brojeva
jednadžbe , nejednadžbe
apsolutne jednadžbe i nejednadžbe


Ako ne znate riješiti neki zadatak iz školskih zbirki ili s prijemnog ispita, pošaljite nam ga mailm na na skolske-zbirke@mim-sraga.com
i mi ćemo Vam ga riješiti - potpuno besplatno.
Zadatak ćemo riješiti ako napišete točan naziv zbirke i redni broj zadatka, tekst zadatka možete, a i ne morate napisati.
-

video poduka:
 
NIKAKVA KOMERCIJALNA UPOTREBA OVIH ZADATAKA NIJE DOZVOLJENA BEZ PISMENA DOZVOLE AUTORA !!!!!